首页 矿机 矿机托管 矿场托管 矿池 比特币挖矿 以太坊挖矿 挖矿资讯 挖矿百科 币行情
  世界挖矿网-全球矿工推荐的专业挖矿平台  
首页 矿机 矿机托管 矿场托管 矿池 比特币挖矿 以太坊挖矿 挖矿资讯 挖矿百科 币行情
首页 > 挖矿资讯 > 虚拟币挖矿机干货:只算电费,比特币的挖矿成本到底是多少?

虚拟币挖矿机干货:只算电费,比特币的挖矿成本到底是多少?

干货:只算电费,比特币的挖矿成本到底是多少?

免责声明:本文不构成任何投资建议。

小编:记得

随着新一代矿机的不断推出,其他条件不变的情况下,由于新矿机能效比的提升,比特币的挖矿成本也会不断减少。

干货:只算电费,比特币的挖矿成本到底是多少?

比特币的价格由固有(内在)价值和外部价值组成。在这里,我们定义挖掘出每个比特币的能源消耗成本为其最低固有价值(固有价值的下部边界),而外部价值是由投机产生的价值。

干货:只算电费,比特币的挖矿成本到底是多少?

比特币挖矿基本情况

首先,我们先了解下当前比特币挖矿的基本情况。根据trinsicoin.com的数据,比特币网络全网算力目前为40.419EH/s,区块奖励为12.5BTC,每小时产生6个区块。本文选取EbangEbitE10作为当前能效比最高的挖矿设备,其算力为18TH/s,能耗为1.65kW/h。然后根据工业用电电费的平均值,本文定义挖矿电费为0.07kW/h。

干货:只算电费,比特币的挖矿成本到底是多少?

变量

本文中的计算包含以下变量:

m=单独一台矿机的算力(TH/s)

em=单独一台矿机的能源消耗(kWh)

c=电费(kWhUSD)

β=每小时多少个区块

r=区块奖励(btc)

m=模拟的矿机总数

cmb=每台矿机每个区块消耗的电费(USD)

v=比特币固有价值(USD)

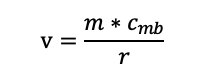
计算

首先,找到最佳情况下(全部使用能效比最高的矿机)模拟矿工的总数m。

其次,将单个矿机的能耗(以kWh为单位)除以一小时内找到的区块数,然后将结果乘以每千瓦的电费成本,找出每台矿机每小时的能源成本cmb。

干货:只算电费,比特币的挖矿成本到底是多少?

最后,比特币产生的内在价值的下限是每区块的总系统能源成本除以每区块产生的比特币数量。

干货:只算电费,比特币的挖矿成本到底是多少?

将数据代入,按照当前情况计算,一共有2245508台矿机,每台矿机的能源消耗为0.019美元kW/h,从而算出产生一个区块所需的能源成本为42670美元。考虑到当前区块奖励为12.5个BTC,所以每个BTC的挖矿成本为3413.62美元。

如果仅考虑最低的内在成本(即挖矿成本),按照当前比特币3618美元的价格计算,外部价值为204美元,投机率为6%。

按照这种方法计算,同理可以得到ETH的最低挖矿成本为92.6美元,投机率为2%;BitcoinABC为293.23美元,投机率为-183%;BSV为346.10美元,投机率为-248%。

当然,随着新一代矿机的不断推出,其他条件不变的情况下,由于新矿机能效比的提升,比特币的挖矿成本也会不断减少。本文使用的E10,而E11也即将推出市场,宣称可以提供44TH/s的算力,能耗为2.0kWh。据此数据计算,在最优情况下,比特币的挖矿成本可下降一半,仅为1692.71美元。

文章来源:巴比特

免责声明:世界挖矿网作为开放的信息发布平台,所有资讯仅代表作者个人观点,与世界挖矿网无关。如文章、图片、音频或视频出现侵权、违规及其他不当言论,请提供相关材料,发送到:2785592653@qq.com。
风险提示:本站所提供的资讯不代表任何投资暗示。投资有风险,入市须谨慎。
Copyright © 2022-2024 世界挖矿网 湘ICP备2022006259号